AVL树是带有平衡条件的二叉查找树,一般要求每个节点的左子树和右子树的高度最多差1(空树的高度定义为-1)。
在高度为h的AVL树中,最少的节点数S(h)由S(h)=S(h-1)+S(h-2)+1得出,其中S(0)=1,S(1)=2。
如上图,分别为高度为0,1,2,3的AVL树所需要的最少节点数。
1.AVL树的实现,遍历与查找操作与二叉查找树相同。
class Node(object):
    def __init__(self,key):
        self.key=key
        self.left=None
        self.right=None
        self.height=0
class AVLTree(object):
    def __init__(self):
        self.root=None
    def find(self,key):
        if self.rootis None:
            return None
        else:
            return self._find(key,self.root)
    def _find(self,key,node):
        if nodeis None:
            return None
        elif key<node.key:
            return self._find(key,self.left)
        elif key>node.key:
            return self._find(key,self.right)
        else:
            return node
    def findMin(self):
        if self.rootis None:
            return None
        else:
            return self._findMin(self.root)
    def _findMin(self,node):
        if node.left:
            return self._findMin(node.left)
        else:
            return node
    def findMax(self):
        if self.rootis None:
            return None
        else:
            return self._findMax(self.root)
    def _findMax(self,node):
        if node.right:
            return self._findMax(node.right)
        else:
            return node
    def height(self,node):
        if nodeis None:
            return -1
        else:
            return node.height
2.AVL树的插入操作
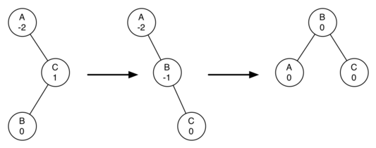
插入一个节点可能会破坏AVL树的平衡,可以通过旋转操作来进行修正。
插入一个节点后,只有从插入节点到根节点的路径上的节点的平衡可能被改变。我们需要找出第一个破坏了平衡条件的节点,称之为K。K的两颗子树的高度差2。
不平衡有四种情况:
1.对K的左儿子的左子树进行一次插入
2.对K的左儿子的右子树进行一次插入
3.对K的右儿子的左子树进行一次插入
4.对K的右儿子的右子树进行一次插入
情况1与4是对称的,需要进行一次单旋转操作,清况2与3需要一次双旋转操作。
情况1:
def singleLeftRotate(self,node):
    k1=node.left
    node.left=k1.right
    k1.right=node
    node.height=max(self.height(node.right),self.height(node.left))+1
    k1.height=max(self.height(k1.left),node.height)+1
    return k1
情况4:
 
 
def singleRightRotate(self,node):
    k1=node.right
    node.right=k1.left
    k1.left=node
    node.height=max(self.height(node.right),self.height(node.left))+1
    k1.height=max(self.height(k1.right),node.height)+1
    return k1
情况3:
 
 
相当于进行了两次单旋转。
def doubleRightRotate(self,node):
    node.right=self.singleLeftRotate(node.right)
    return self.singleRightRotate(node)
情况2:
与情况3类似,都是进行了2次单旋转。
def doubleLeftRotate(self,node):
    node.left=self.singleRightRotate(node.left)
    return self.singleLeftRotate(node)
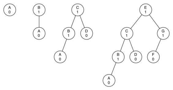
一系列插入操作:
插入代码如下:
def put(self,key):
    if not self.root:
        self.root=Node(key)
    else:
        self.root=self._put(key,self.root)
def _put(self,key,node):
    if nodeis None:
        node=Node(key)
    elif key<node.key:
        node.left=self._put(key,node.left)
        if (self.height(node.left)-self.height(node.right))==2:
            if key<node.left.key:
                node=self.singleLeftRotate(node)
            else:
                node=self.doubleLeftRotate(node)
         
    elif key>node.key:
        node.right=self._put(key,node.right)
        if (self.height(node.right)-self.height(node.left))==2:
            if key<node.right.key:
                node=self.doubleRightRotate(node)
            else:
                node=self.singleRightRotate(node)
     
     
    node.height=max(self.height(node.right),self.height(node.left))+1
    return node
3.AVL树的删除操作:
删除操作比较复杂,如有错误,请指正。
1.当前节点为要删除的节点且是树叶(无子树),直接删除,当前节点(为None)的平衡不受影响。
2.当前节点为要删除的节点且只有一个左儿子或右儿子,用左儿子或右儿子代替当前节点,当前节点的平衡不受影响。
3.当前节点为要删除的节点且有左子树右子树:如果右子树高度较高,则从右子树选取最小节点,将其值赋予当前节点,然后删除右子树的最小节点。如果左子树高度较高,则从左子树选取最大节点,将其值赋予当前节点,然后删除左子树的最大节点。这样操作当前节点的平衡不会被破坏。
4.当前节点不是要删除的节点,则对其左子树或者右子树进行递归操作。当前节点的平衡条件可能会被破坏,需要进行平衡操作。
如上图,25为当前节点,左子树删除17后平衡条件被破坏,需要根据当前节点(25)的右子树(30)的左子树(28)高度是否高于右子树(35)的高度进行判断,若高于,进行双旋转,否则进行单旋转
def delete(self,key):
    self.root=self.remove(key,self.root)
def remove(self,key,node):
    if nodeis None:
        raise KeyError,'Error,key not in tree'
    elif key<node.key:
        node.left=self.remove(key,node.left)
        if (self.height(node.right)-self.height(node.left))==2:
            if self.height(node.right.right)>=self.height(node.right.left):
                node=self.singleRightRotate(node)
            else:
                node=self.doubleRightRotate(node)
        node.height=max(self.height(node.left),self.height(node.right))+1
         
             
    elif key>node.key:
        node.right=self.remove(key,node.right)
        if (self.height(node.left)-self.height(node.right))==2:
            if self.height(node.left.left)>=self.height(node.left.right):
                node=self.singleLeftRotate(node)
            else:
                node=self.doubleLeftRotate(node)
        node.height=max(self.height(node.left),self.height(node.right))+1
     
    elif node.leftand node.right:
        if node.left.height<=node.right.height:
            minNode=self._findMin(node.right)
            node.key=minNode.key
            node.right=self.remove(node.key,node.right)
        else:
            maxNode=self._findMax(node.left)
            node.key=maxNode.key
            node.left=self.remove(node.key,node.left)
        node.height=max(self.height(node.left),self.height(node.right))+1
    else:
        if node.right:
            node=node.right
        else:
            node=node.left
     
    return node
全部代码:
class Node(object):
    def __init__(self,key):
        self.key=key
        self.left=None
        self.right=None
        self.height=0
class AVLTree(object):
    def __init__(self):
        self.root=None
    def find(self,key):
        if self.rootis None:
            return None
        else:
            return self._find(key,self.root)
    def _find(self,key,node):
        if nodeis None:
            return None
        elif key<node.key:
            return self._find(key,self.left)
        elif key>node.key:
            return self._find(key,self.right)
        else:
            return node
    def findMin(self):
        if self.rootis None:
            return None
        else:
            return self._findMin(self.root)
    def _findMin(self,node):
        if node.left:
            return self._findMin(node.left)
        else:
            return node
    def findMax(self):
        if self.rootis None:
            return None
        else:
            return self._findMax(self.root)
    def _findMax(self,node):
        if node.right:
            return self._findMax(node.right)
        else:
            return node
    def height(self,node):
        if nodeis None:
            return -1
        else:
            return node.height
     
    def singleLeftRotate(self,node):
        k1=node.left
        node.left=k1.right
        k1.right=node
        node.height=max(self.height(node.right),self.height(node.left))+1
        k1.height=max(self.height(k1.left),node.height)+1
        return k1
    def singleRightRotate(self,node):
        k1=node.right
        node.right=k1.left
        k1.left=node
        node.height=max(self.height(node.right),self.height(node.left))+1
        k1.height=max(self.height(k1.right),node.height)+1
        return k1
    def doubleLeftRotate(self,node):
        node.left=self.singleRightRotate(node.left)
        return self.singleLeftRotate(node)
    def doubleRightRotate(self,node):
        node.right=self.singleLeftRotate(node.right)
        return self.singleRightRotate(node)
    def put(self,key):
        if not self.root:
            self.root=Node(key)
        else:
            self.root=self._put(key,self.root)
    def _put(self,key,node):
        if nodeis None:
            node=Node(key)
        elif key<node.key:
            node.left=self._put(key,node.left)
            if (self.height(node.left)-self.height(node.right))==2:
                if key<node.left.key:
                    node=self.singleLeftRotate(node)
                else:
                    node=self.doubleLeftRotate(node)
             
        elif key>node.key:
            node.right=self._put(key,node.right)
            if (self.height(node.right)-self.height(node.left))==2:
                if key<node.right.key:
                    node=self.doubleRightRotate(node)
                else:
                    node=self.singleRightRotate(node)
         
         
        node.height=max(self.height(node.right),self.height(node.left))+1
        return node
         
    def delete(self,key):
        self.root=self.remove(key,self.root)
    def remove(self,key,node):
        if nodeis None:
            raise KeyError,'Error,key not in tree'
        elif key<node.key:
            node.left=self.remove(key,node.left)
            if (self.height(node.right)-self.height(node.left))==2:
                if self.height(node.right.right)>=self.height(node.right.left):
                    node=self.singleRightRotate(node)
                else:
                    node=self.doubleRightRotate(node)
            node.height=max(self.height(node.left),self.height(node.right))+1
             
                 
        elif key>node.key:
            node.right=self.remove(key,node.right)
            if (self.height(node.left)-self.height(node.right))==2:
                if self.height(node.left.left)>=self.height(node.left.right):
                    node=self.singleLeftRotate(node)
                else:
                    node=self.doubleLeftRotate(node)
            node.height=max(self.height(node.left),self.height(node.right))+1
         
        elif node.leftand node.right:
            if node.left.height<=node.right.height:
                minNode=self._findMin(node.right)
                node.key=minNode.key
                node.right=self.remove(node.key,node.right)
            else:
                maxNode=self._findMax(node.left)
                node.key=maxNode.key
                node.left=self.remove(node.key,node.left)
            node.height=max(self.height(node.left),self.height(node.right))+1
        else:
            if node.right:
                node=node.right
            else:
                node=node.left
         
        return node









您可以选择一种方式赞助本站
支付宝扫一扫赞助
微信钱包扫描赞助
赏