优先队列(priority queue)是允许至少两种操作的数据结构:Insert及DeleteMin(删除最小者)。相当于队列中的Enqueue、Dequeue操作。
优先队列可以用链表、二叉查找树、二叉堆等实现。
二叉堆
1. 结构性质
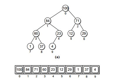
堆(heap)是一棵完全被填满的二叉树,有可能的例外是在底层,底层上的元素从左向右填入。这样的树称之为完全二叉树。
一棵高为h的完全二叉树有2h到2h+1-1个节点。完全二叉树的高为logN。
完全二叉树可以用数组来表示,如果从0开始,对于数组中任意i位置的元素,其左儿子在2i+1位置上,右儿子在2i+2位置上,父节点在floor((i-1)/2)位置上。
2.堆序性质
最小堆:对于堆中的每一个节点,其子节点的关键字都大于其的关键字,根节点处为最小值。
最大堆:对于堆中的每一个节点,其子节点的关键字都小于其的关键字,根节点处为最大值。
3.基本的堆操作
Insert:
将要插入的元素X放入到堆末尾,如果不破坏堆的结构,操作完成,否则将X上滤。
如果欲插入的元素一直上滤到根处,那么插入的时间高达O(logN)。平均看来,这种上滤要终止的早。基本上执行一次插入平均需要2.607次比较。
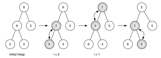
DeleteMin:
对于最小堆,删除根节点,将堆末尾的节点放到根部,然后执行下滤操作。操作的平均操作时间为O(logN)。
最小堆的其它操作:
DecreaseKey(降低关键字的值):执行上滤操作。
IncreaseKey(增加关键字的值):执行下滤操作。
Delete:将堆末尾的值放于删除的节点处,执行下滤操作。
BuildHeap(构建堆):
1.执行N次Insert操作。总运行时间为O(N)。
2.从堆末尾节点的父节点开始,向根的方向,依次执行下滤操作。总运行时间为O(N)。
class MinHeap(object):
    def __init__(self):
        self.heap=[]
        self._count=0
    def __len__(self):
        return self._count
    def insert(self,key):
        self.heap.append(key)
        self._count+=1
        self._up(self._count-1)
    def deleteMin(self):
        a=self.heap.pop()
        self.heap[0]=a
        self._count-=1
        self._down(0)
    def _up(self,i):
        if i>0:
            parent=(i-1)/2
            if self.heap[parent]>self.heap[i]:
                self.heap[parent],self.heap[i]=self.heap[i],self.heap[parent]
                self._up(parent)
    def _down(self,i):
        left=2*i+1
        right=2*i+2
        small=i
        if left<self._count and self.heap[i]>self.heap[left]:
            small=left
        if right<self._count and self.heap[right]<self.heap[small]:
            small=right
        if small!=i:
            self.heap[i],self.heap[small]=self.heap[small],self.heap[i]
            self._down(small)
							






您可以选择一种方式赞助本站
支付宝扫一扫赞助
微信钱包扫描赞助
赏