有一个无权的图G,使用某个顶点s作为输入参数,找出从s到其它顶点的最短路径。这样,只要计算包含在路径中的边数就可以了。
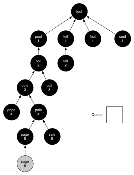
比如,一个word ladder problem,一次只变换一个字母,找出从fool到sage的最短路径。
可用的单词可以转化为一个图:
首先寻找与fool距离为1的顶点:
然后可以寻找距离fool为2的顶点:
最后,搜索出全部顶点:
这样搜索一个图的方法称为广度优先搜索:距开始点最近的那些顶点首先被搜索,最远的那些顶点最后被搜索。
def unweighted(G,v):
    queue=[]
    path_length={}
    path_length[v]=0
    queue.append(v)
    while queue:
        v=queue.pop(0)
        for i in v.getNeighbors():
            if i not in path_length:
                path_length[i]=path_length[v]+1
                queue.append(i)
    return path_length
							




您可以选择一种方式赞助本站
支付宝扫一扫赞助
微信钱包扫描赞助
赏